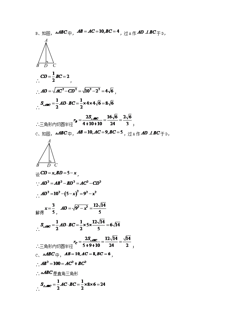
>
【文档预览】 文档大全网整理发布2022-2023学年江苏省南京市秦淮区九年级上学期数学期末试题及答案(Word版),前五页预览如下:
本文来源:https://www.wddqw.com/KZjv.html
相关文章:
正在阅读:
2022-2023学年江苏省南京市秦淮区九年级上学期数学期末试题及答案(Word版)09-23
幼儿园中班家长工作计划下学期-幼儿园中班家长委员会工作计划06-25
我为古人点个赞作文600字12-08
沈阳建筑大学2017考研调剂信息发布10-03
2022上半年河北英语六级报名入口:http://cet-bm.neea.edu.cn06-03
主持讲故事比赛主持词_讲故事比赛主持词范例01-12
五四青年节经典搞笑祝福短信11-30
2017年司法考试《商法》预习知识点:票据的丧失与补救01-20
2017年3月安徽计算机四级考试报名入口09-22
广东省广州市白云区审计局2018年政府雇员招聘公告06-16
4月25日报名截止!2023年湖南长沙市长沙县城区中小学新生入学网上报名时间和办法公布04-20