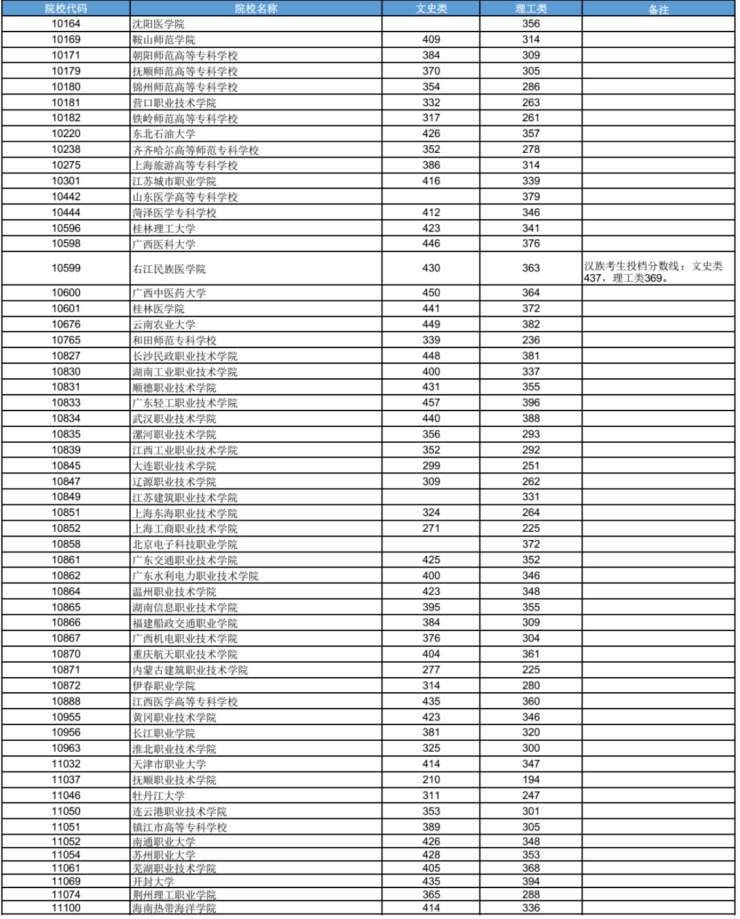
【#高考# 导语】©文档大全网高考频道从柳园清风了解到,2023年广西高考普通高校招生高职高专普通批最低投档分数线已公布,具体如下:

说明:
1.23397石家庄邮电职业技术学院(邮政班)需进行面试,按学校提供的合格名单进行投档。
2.10599右江民族医学院对少数民族考生投档比例有要求,按少数民族考生数不低于65%的比例投档。
3.表中空白处表示无相应科类招生计划或无符合条件的出档考生。












正在阅读:
2023年广西高考普通高校招生高职高专普通批最低投档分数线08-15
[公司保密承诺书范文]公司保密书范文06-14
2020年下半年上海中小学教师资格证成绩查询时间及入口【12月10日】11-10
18考研党必收!复试自我介绍模板04-03
校园集体舞蹈比赛主持词07-06
2018年浙江温州文成县人民医院招聘公告06-28
才知道,关爱近在咫尺作文800字01-16
感恩生活演讲稿范文201707-30
2019最新教师自我剖析材料-2019年党员自我剖析材料01-31
心中没有别人作文600字08-21