
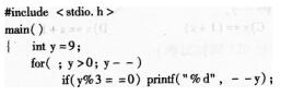
(21)有以下程序:

程序运行后的输出结果是( )。
A.852
B.963
C.741
D.875421
(22)有以下程序:

程序运行后的输出结果是( )。
A.let=4
B.m=2
C.m=6
D.m=5
(23)有以下程序:

程序运行后的输出结果是( )。
A.6
B.3
C.8
D.12
(24)有以下程序:

则以下函数调用语句错误的是( )。
A.k:f(a,B.;
B.k:add(a,B.;
C.k=(*f)(a,B.;
D.k=*(a,B.;
(25)有以下程序

(26)下列定义数组的语句中,正确的是( )。

(27)有以下程序:

程序运行后的输出结果是( )。
A.0 3 0 4
B.2 0 5 0
C.3 3 4 4
D.3 0 4 0
(28)有以下程序:

程序运行后的输出结果是( )。
A.3
B.4
C.l
D.9
(29)以下语句中存在语法错误的是( )。

(30)以下不能将s所指字符串正确复制到t所指存储空间的是( )。
A.do{*t++=*8++;}while(*s);
B.for(i=0;t[i]=s[i];i++);
C.while(*t=*s){t++;s++;}
D.for(i=0,j=0;t[i++]=s[j++];);
(31)有以下程序:

程序运行后的输出结果是( )。
A.10,One*Dream!
B.9,One*Dream!
C.9,One*World
D.10,One*World
(32)有以下程序:

程序运行后的输出结果是( )。
A.0
B.3
C.7
D.8
(33)有以下程序:

程序执行后的输出结果是( )。
A.5,11
B.5,5
C.11,11
D.11,5
(34)在c语言中,只有在使用时才占用内存单元的变量,其存储类型是( )。
A.aut0和static
B.extern和register
C.aut0和register
D.static和register
(35)下面结构体的定义语句中,错误的是( )。
A.struct ord{int x;int Y;int z;}struct ord a;
B.struct ord{int x;im Y;im z;};struct ord a;
C.struct ord{int x;int Y;int Z;}a;
D.struct{int x;int Y;int z;}a;
(36)有以下程序:

程序运行后的输出结果是( )。
A.2,4
B.1,2
C.1,4
D.2.3
(37)以下叙述中正确的是( )。
A.在C语言中,预处理命令行都以“#”开头
B.预处理命令行必须位于c源程序的起始位置
C.#include
D.C语言的预处理不能实现宏定义和条件编译的功能
(38)有以下程序:

程序运行后的输出结果是( )。
A.O
B.10
C.20
D.出错
(39)有以下程序:

程序运行后的输出结果是( )。
A.16
B.1
C.32
D.O
(40)读取二进制文件的函数调用形式为:fread(buffer,size,count,fp);,其中buffer代表的是( )。
A.一个内存块的字节数
B.一个整型变量,代表待读取的数据的字节数
C.一个文件指针,指向待读取的文件
D.一个内存块的首地址,代表读人数据存放的地址
(21)A【解析】第一次for循环,y的值为9,y%3的值为3,满足条件打印一一Y,即先减一后打印,所以打印8;第二次for循环,Y的值为7,y%3的值为1,不执行打印语句;第三次for循环,y的值为6,y%3的值为0,满足条件打印一一Y,即先减一后打印,所以打印5;第四次for循环,Y的值为4,不满足if条件,不执行打印语句;第五次for循环,Y的值为3,满足if条件,打印输出2;第六次for循环,Y的值为1,不满足条件,不执行打印语句。
(22)C【解析】第一次外循环i的值为l,第一次内循环j的值为3,不满足条件执行in}=i}j即m的值为3;第二次j的值为2,不满足条件执行m·=i*j,即m的值为6;第三次j的值为1,不满足条件执行nl*=i*j,即m的值仍为6。第二次外循环i的值为2,j的值为3,满足条件,执行break语句,跳出循环。
(23)A【解析】本题中第一次调用为fun(8,fun(5,6)),因为fun(5,6)返回值为5,所以第二次调用为fun(8,5)=6。所以选择A。
(24)D【解析】D选项中+f(a,b)表示调用后返回一个指向整型数据的地址指针,即该函数的返回值为指针类型,所以不能将其赋值给整形变量k。
(25)A【解析】选项8的正确写法应为P=&n;选项c的正确写法应为scanf(”%d”,P);选项D的正确写法应为printf(”%d\n”,* P)。
(26)A【解析】数组说明的一般形式为:类型说明符
数组名[常量表达式]。B选项中N是变量,不能用变量定义数组长度。c选项中数组长度是非法的一串数字。定义数组时必须为其指明长度,D选项中数组长度为空,所以非法。
(27)D【解析】第一次循环i为0,i%2为o,执行switch(a[O]%2)中的ca∞0语句后内容即a[0]++,a[0]的值变成3;第二次循环i的值为l,i%2为1,执行ca∞1:a[i]=0;所以a[1]的值变成0;第三次循环i的值为2,i%2为0,执行switch(a[2]%2)中的ca∞1语句后的内容a[2]一一,8[2]的值变成4;第四次循环i的值为3,i%2为1,执行casel:a[i]=0;所以a[3]的值变成0。
(28)B【解析】每次内循环只循环一次就结束,第一次外循环时t=t+b[0][b[0][0]]=1+b][0]=1+0=第二次外循环时t=t+b[1][b[1][1]]=1+b[1][1]=1+1=2;第三次外循环时t=t+b[2][b[2][2]]=2+b[2][2]=2+2=4。
(29)A【解析】数组定义后,不可以对数组整体赋值,s是二维数组,因SS[1]是一维字符数组,即字符串,字符串赋值可以使用strcpy(SS[1],”right”);这样的形式,而选项A中对二维数组中的第…l维(相当于一个一维数组)赋值,是不可以的。选项8和D是定义时对数组初始化,这是可以的。选项c中,将字符串在内存中的首地址赋给指针数组的一个元素,这是可以的。
(30)A【解析】do{*t++=}S++;}while(*S);不能因为当*s=’、0。时,while(* s)跳出循环,这样字符串结束标志’、0’没有复制给}t,造成}t不完整。注意,*t++=*s++是先执行t=*s,然后才进行t=t+1,s=s+1。B、C、D都能将。\0’复制过去
(31)A【解析】P是指向二维字符数组第二行One+Dream!的数组指针,所以长度是l0,打印输出的也是该字符串。
(32)B【解析】本题中遇到“\”字符循环结束,所以只统计“\”之前的数字字符,所以为3。
(33)A【解析1声明静态局部变量:函数调用结束后,其占用的存储单元不释放,在下次该函数调用时,该变量保留上一次函数调用结束时的值。本题子函数tim中的变量i和m均为静态局部变量。所以第一次调用fun函数,返回m的值为5,第二次再调用fun函数时,i的值为3,nl的值已经是5了,所以执行i+=m+1,i的值变为9,nl=i+x+Y=9+1+l=11。
(34)C【解析】aut0:函数中的局部变量,动态地分配存储空间,数据存储在动态存储区中,在调用该函数时系统会给它们分配存储空间,在函数调用结束时就自动释放这些存储空问。register:为了提高效率,C语言允许将局部变量的值放在cPU中的寄存器中,这种变量叫“寄存器变量”,只有局部自动变量和形式参数可以作为寄存器变量。extem:#1’部变量(即全局变量)是在函数的外部定义的,它的作用域为从变量定义处开始,到本程序文件的末尾。如果外部变量不在文件的开头定义,其有效的作用范围只限于定义处到文件终了。static:静态局部变量属于静态存储类别,在静态存储区内分配存储单元。在程序整个运行期间都不释放。
(35)A【解析】A选项stnlet onl{int x;int y;int 2;struet ora a;错误,不能在定义结构体的同时,又用结构体类型名定义变量。应该写成B选项或者D选项的格式。
(36)B【解析l结构体变量可以作为函数的参数和返回值。作为函数的实参时,可以实现函数的传值调用。当使用结构体变量作为函数的形参时,实参也应该是结构体变量名以实现传值调用,实参将拷贝副本给形参,在被调用函数中改变形参值对于调用函数中的实参没有影响。所以选择B。
(37)A【解析】预处理命令是以“#”号开头的命令,它们不是C语言的可执行命令,这些命令应该在函数之外书写,一般在源文件的最前面书写,但不是必须在起始位置书写,所以B、c错误。C语言的预处理能够实现宏定义和条件编译等功能,所以D错误。
(38)C【解析】nlaIloc(sizeof(int))的作用是开辟一个长度为sizeof(int)存储空间,并通过强制类型转换(int。)将此存储空间的地址赋给了一个整型的指针变量P。然后执行语句·P=n,使得·p的值为10,并通过return返回此值,即a的值为l0。然后在主函数中输出a+ftm(10)=10+10=20。
(39)B【解析】无符号整型变量a的值为8,二进制表示为00001000,右移3位后为00000001,即十进制的l,所以输出1。
(40)D【解析】fread(void}buffer,size—t size,size—tcount,FILE}stream);功能是从一个文件流中读数据,读取count个元素。每个元素size字节,如果调用成功返回count。buffer:用于接收数据的内存地址,大小至少是size * count字节;size:单个元素的大小,单位是字节;count:元素的个数,每个元素是size字节;Stream:输人流。
2017年计算机二级C语言考前必做试题及答案2.doc
正在阅读:
2017年入党思想汇报范文10篇,2017年最新入党思想汇报10-27
[2017年上半年中学教师资格证考试真题综合素质]2017年上半年中学教师资格证考试真题:综合素质10-28
2019年外贸销售工作计划09-17
2017年内蒙古二级建造师准考证打印时间:考前一周11-18
高中我的家乡作文800字作文,高中我的家乡800字作文04-10
2020年江西省卫生健康委直属事业单位招聘公告【313人】01-23
我最喜欢的美术课作文350字09-20
2016三级心理咨询师考试要点:注意06-04
[现役军人入团申请书1500字]现役军人入团申请书【三篇】04-16
给父母的英文感谢信范文【三篇】03-15