>
点击进入:(查看完整版)
本文来源:https://www.wddqw.com/kpIv.html
相关文章:
正在阅读:
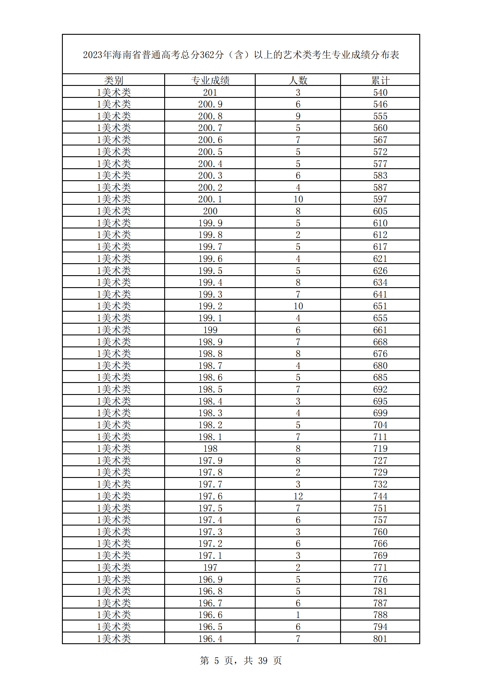
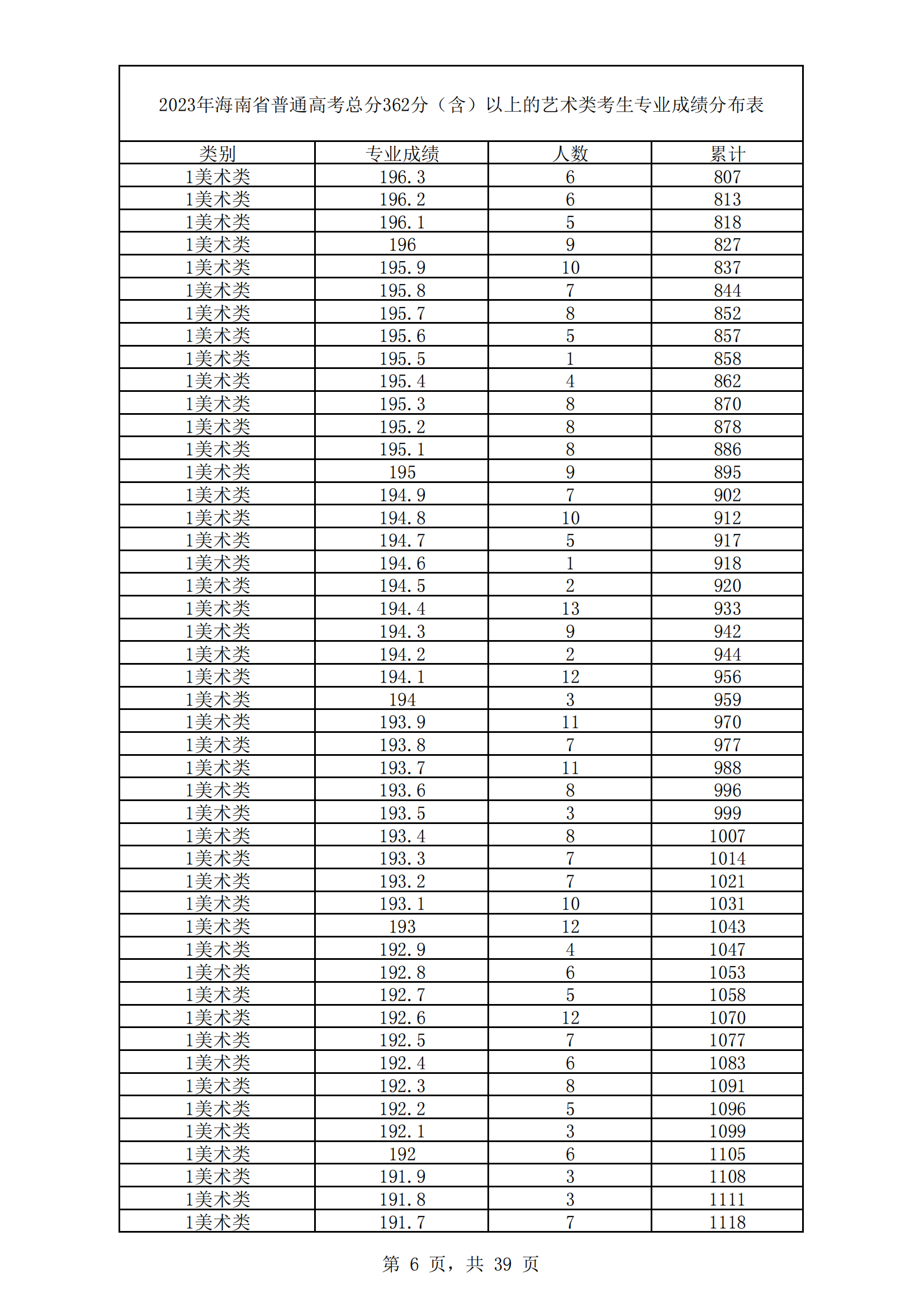
2023年海南省普通高考艺术类考生专业成绩分布表(总分362(含)以上的)06-28
2017上半年海南计算机三级成绩单何时领取?10-22
春节美食作文300字07-17
2018吉林东北师范大学历史文化学院教师招聘公告【3人】09-17
不要让自己流眼泪作文450字10-09
上海2017年经济师报名入口已开通02-07
小骆驼再次遇到小红马的作文700字08-14
一次教训作文600字07-08
招商银行云南昆明分行2017校园招聘启事02-24
一年级下册数学练习题:100以内的数及加减法04-26
小学三年级寒假作文300字_小学三年级寒假作文(十篇)01-11