正在阅读:
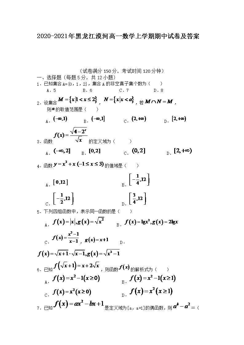
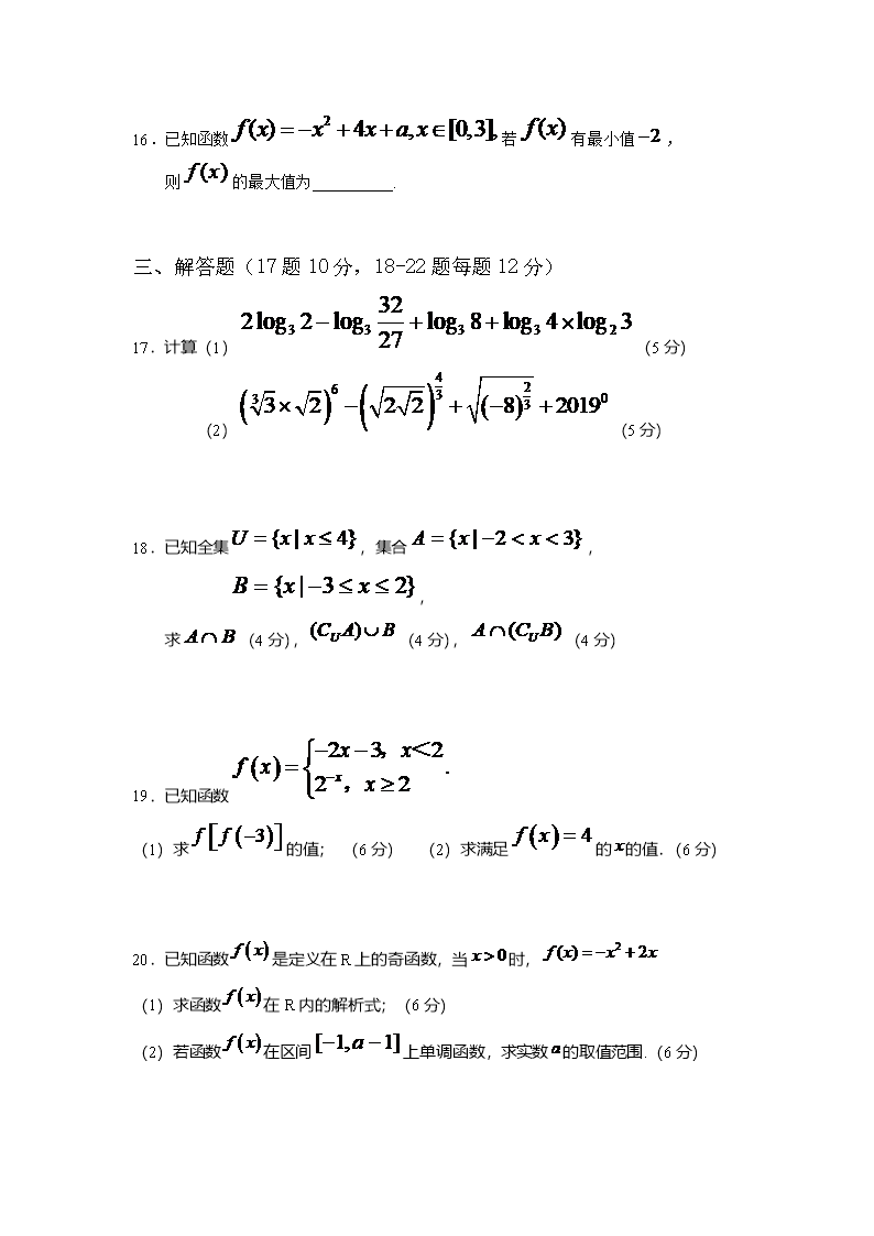
2020-2021年黑龙江漠河高一数学上学期期中试卷及答案(Word版)10-25
传递书香见证成长作文800字01-04
平凡的光芒作文400字06-23
有关三八妇女节小学二年级作文10-04
2016成人高考专升本教育理论教育学知识精解(3)02-10
三年级作文我最喜欢做的一件事300,三年级作文我最喜欢做的一件事03-06
销售2023述职报告02-07
2022年湖南执业医师报考条件、报名时间、流程及入口【1月12日-25日】11-06
辽宁大连2022年1月普通高中学业水平合格性考试成绩查询入口(已开通)05-06
2019年江苏普通高校本二批次结束录取时间为7月25日03-29
电气自动化个人工作简历10-03