一、单选题((1)~(20)每题1分,(21)~(30)每题2分,共40分)
1.设有关系模式R(A,B,C,D),其函数依赖集为F={A一>D,B一>D,C一>D}。如果将R分解为R1(A,B,C)和R2(C,D),则该分解是( )。
A)同时保持函数依赖和无损连接的分解
B)保持函数依赖但不保持无损连接的分解
C)保持无损连接但不保持函数依赖的分解
D)既不保持函数依赖也不保持无损连接的分解
2.下面关于模式分解的说法,错误的是( )。
A)分解并不总能提高查询效率
B)分解通常使得涉及属性少的查询执行效率更高
C)分解通常使得简单的更新事务执行效率更高
D)分解总是能降低存储空间的要求,因为它能消除冗余数据
3.设有关系表:职工(职工号,姓名,领导职工号),其中职工号是主码,领导职工号是外码。当前表中没有任 何数据。现在依次向该表中插入如下数据
(1)(e1,Tom,e2)
(2)(e3,Jerry,null)
(3)(null,F00,null)
(4)(e2,Fake,e2)
(5)(el,Ghost,e3)
(6)(e4,Wh0,el)
则最终该表中有( )行数据。
A)2
B)3
C)4
D)5
4.数据库物理设计阶段是根据数据库逻辑设计的结果设计合适的数据库物理结构。下列关于数据库物理设计的说法,错误的是( )。
A)物理设计着眼于数据库底层的物理存储与存取,与操作系统和硬件环境及数据库管理系统密切相关
B)物理设计时需要合理安排不同的存储介质,索引文件一般存储在高速磁盘中,日志文件可以考虑存储在磁带中
C)物理设计过程中需要考虑设置合理的数据库管理系统参数和操作系统相关参数
D)物理设计过程中需要考虑RAID级别、操作系统的文件管理机制、数据库管理系统支持的索引类型
5.三层浏览器/服务器架构是现在比较流行的应用系统架构。下列关于此架构的说法,错误的是( )。
A)表示层使用Web浏览器实现,位于客户端,一般无需安装其他程序
B)数据层位于数据库服务器,由DBMS完成数据存储和数据存取等数据管理功能
C)此架构将人机交互、应用业务逻辑和数据管理三类功能分离,提高了可维护性
D)与二层的客户/服务器架构相比,此架构在交互性、运行速度方面优势明显
6.设有下列关于数据库分析、设计与实现的工作:
Ⅰ.用概念数据模型表示数据对象的特征及其相互间的关联关系
Ⅱ.进行数据库的备份与恢复等日常维护
Ⅲ.在ER图的基础上确定数据库关系模式
Ⅳ.调整数据库逻辑模式,确定文件组织与存取方式,评估物理模式
V.考虑分析DBAS运行过程中备份数据库策略,如备份时问点和备份周期
Ⅵ.事务和应用程序的编码及测试
上述工作中,属于DBAS系统设计阶段工作的是( )。
A)仅Ⅰ、Ⅱ、Ⅲ、Ⅳ和V
B)仅Ⅰ、Ⅱ、Ⅲ和Ⅳ
C)仅Ⅰ、Ⅲ和Ⅳ
D)全部
7.下列是关于关系数据模型和关系表的说法:
Ⅰ.关系数据模型以集合论为基础表示和处理数据
Ⅱ.关系数据模型同时支持非过程化语言和过程化语言直接存取数据
Ⅲ.“create table…”语句用于定义关系表的结构及数据完整性约束
Ⅳ.在关系表上执行select或delete操作时,DBMS会检查数据完整性约束
上述说法中正确的是( )。
A)仅Ⅰ和Ⅲ
B)仅Ⅱ和Ⅳ
C)仅Ⅲ和Ⅳ
D)仅Ⅰ和Ⅳ
8.在进行数据库物理设计时,为了保证系统性能,需要综合考虑所选择的数据库管理系统的特性及软硬件具体情况。下列关于数据库物理设计的说法,错误的是( )。
A)在频繁执行插入、修改和删除操作的表上建立索引可能会降低系统整体性能
B)在一张表的某列上需要频繁执行精确匹配查询时,可以考虑为此列建立哈希索引
C)为了提高写入性能,数据库一般应尽量避免存储在RAID10的磁盘存储系统中
D)如果系统中存在频繁的多表连接操作,可以考虑将这些基本表组织为聚集文件,以提高查询效率
9.类图技术是面向对象方法的核心技术。下列所示UML的类图,正确的是( )。
A)
B)
C)
D)
10.设在SQL Server 2008某数据库中有表SC(Sn0,Cn0,Grade),其中Grade列的类型为int。若在查询成绩时,希望将成绩按“优”、“良”、“中”、“及格”和“不及格”形式显示,则下列Case函数中正确的是( )。
A)Case Grade
When Grade between 90 and 100 THEN Grade=ˊ优ˊ
When Grade between 80 and 89 THEN Grade=ˊ良ˊ
When Grade between 70 and 79 THEN Grade=ˊ由ˊ
When Grade between 60 and 69 THEN Grade=ˊ及格ˊ
Else Grade=ˊ不及格ˊ
End
B)Case Grade
When Grade between 90 and 100 THEN ˊ优ˊ
When Grade between 80 and 89 THEN ˊ良ˊ
When Grade between 70 and 79 THENˊ中ˊ
When Grade between 60 and 69 THENˊ及格ˊ
Elseˊ不及格ˊ
End
C)Case
When Grade between 90 and 100 THEN Grade=ˊ优ˊ
When Grade between 80 and 89 THEN Grade=ˊ良ˊ
When Grade between 70 and 79 THEN Grade=ˊ由ˊ
When Grade between 60 and 69 THEN Grade=ˊ及格ˊ
Else Grade=ˊ不及格ˊ
End
D)Case
When Grade between 90 and 100 THENˊ优ˊ
When Grade between 80 and 89 THEN ˊ良ˊ
When Grade between 70 and 79 THEN ˊ由ˊ
When Grade between 60 and 69 THEN ˊ及格ˊ
Elseˊ不及格ˊ
End
11.设在SQL Server 2008某数据库中有销售表(商品号,销售时间,销售数量,销售价格),其中商品号的类型为char(6),销售价格的类型为int。现要定义统计指定商品销售总价的标量函数。有下列定义该标量函数的语句:
Ⅰ.Create FUNCTION db0.GetTotal(@GoodID char(6))
Returns int AS
BEGIN
Return(SELECT SUM(销售价格)FROM销售表WHERE商品号=@GoodID)
END
Ⅱ.Create FUNCTION db0.GetTotal(@GoodID char(6))
Returns int AS
BEGIN
Returns(SELECT SUM(销售价格)FROM销售表WHERE商品号=@GoodID)
END
Ⅲ.Create FUNCTION db0.GetTotal(@GoodID chat(6))
Returns int
BEGIN
Return(SELECT SUM(销售价格)FROM销售表WHERE商品号=@GoodID)
END
1V.Create FUNCTION db0.GetTotal(@GoodID char(6))
Returns int
Returns(SELECT SUM(销售价格)FROM销售表WHERE商品号=@GoodID)
上述语句中,正确的是( )。
A)仅I和Ⅱ
B)仅Ⅲ和Ⅳ
C)仅Ⅱ和Ⅳ
D)仅I和Ⅲ
12.分区表是将一个表的数据按水平方式划分为不同的子集,从而可以更快速有效地访问数据子集。现有表R(A,B)以及针对该表的如下SQL语句,如果基于列A对R进行范围分区,该分区设计方案能提高其性能的SQL语句是( )。
A)SELECT A,SUM(B)FROM R GROUP BY A
B)SELECT A FROM R ORDER BY B,A
C)DELETE FROM R WHERE A<>10
D)SELECT MAX(A)FROM R WHERE B=10
13.下列关于SQL Server 2008架构的说法,错误的是( )。
A)在一个数据库中,一个用户可以拥有多个架构,一个架构只能属于一个用户
B)架构相当于数据库对象的容器,在同一个数据库中架构不能重名
C)架构是数据库中的逻辑命名空间,同一个数据库的不同架构中可以存在同名表
D)在同一个架构中可以定义表、视图等不同数据库对象
14.设数据库管理员为SQL Server 2008默认实例中的某数据库实施了基于维护计划的数据库备份任务。配置完成后,发现此维护计划并未执行但数据库运行正常。有关此维护计划未执行的原因,下列说法中最有可能的是( )。
A)“SQL Server(MSSQLSERVER)”服务未启动
B)“SQL Server代理(MSSQLSERVER)”服务未启动
C)“SQL Server Browser”服务未启动
D)“SQL Server VSS Writer”服务未启动
15.下列关于SQL Server 2008数据库文件的说法,错误的是( )。
A)一个数据库可以包含多个数据文件,但这些数据文件不能放置在同~个物理磁盘上
B)数据库的数据文件和日志文件分别存放在不同的物理磁盘』_二
C)用户数据库中包含很多系统信息,这些系统信息必须存储在主要数据文件中
D)数据库的主要数据文件必须存放在PRIMARY文件组中
16.在SQL Server 2008中,某用户仅具有登录到某SQL Server实例的权限。下列关于该用户能够进行的操作的说法,正确的是( )。
A)仅能够查询master、model和msdb系统数据库中的部分数据
B)能够查询和修改master、model和msdb系统数据库中的部分数据
C)仅能够查询master和msdb系统数据库中的部分数据
D)能够查询和修改master和msdb系统数据库中的部分数据
17.SQL Server 2008提供了方便的数据导入/导出向导,现利用该向导将S1服务器上某数据库中T1表的数据导人到S2服务器某数据库中已有的T2表中。在数据源上的操作由用户U1完成,在目的服务器上的操作由用户U2完成。则U1和U2需要具有的权限是( )。
A)ul需要T1表的查询权限和T2表的插入权限,U2无需任何权限
B)U2需要T1表的查询权限和T2表的插入权限,U1无需任何权限
C)U1需要T1表的查询权限,U2需要T2表的插入权限
D)U1需要T1表的查询权限和S2服务器的登录权限,U2需要T2表的插入权限和S1服务器的登录权限
18.事务是数据库中非常重要的概念。下列关于事务的说法,错误的是( )。
A)当数据库出现事务故障或系统故障时,可以通过数据库日志文件进行恢复
B)事务并发执行可能导致数据错误,采用三级加锁协议可以保证数据的一致性
C)为了检测死锁,数据库管理系统会在执行每个事务时检测事务等待图中是否出现回路
D)数据库管理系统可以采用先来先服务的方式防止活锁现象的出现
19.在数据库运行过程中,数据库管理员应对数据库运行情况进行监控。设有如下可能需要监控的内容:
Ⅰ.数据库空间使用情况
Ⅱ.数据库服务器网络是否通畅
Ⅲ.数据库缓冲区命中率情况
Ⅳ.数据库用户向数据库发送的每条SQL语句
Ⅴ.数据库中索引使用情况
上述工作中属于数据库日常监控内容的是( )。
A)仅Ⅰ、Ⅲ和Ⅴ
B)仅Ⅰ和Ⅲ
C)仅Ⅱ、Ⅲ、Ⅳ和Ⅴ
D)全部均是
20.下列关于数据库性能优化的说法,错误的是( )。
A)增加派生性冗余列可以降低查询过程中的计算量
B)增加冗余列可以减少查询过程中的UNION操作
C)适当降低关系模式的规范化程度,可以减少查询过程中的JOIN操作
D)当一个表的数据量超过一定规模时,可以采用分割表的方法提高效率
21.为了减少数据库管理系统中的死锁,有下列措施:
Ⅰ.事务按同一顺序访问资源
Ⅱ.检测事务等待图并撤销回路中的某个事务
Ⅲ.将大事务切分成若干个小事务
Ⅳ.使用绑定连接
上述措施中,属于可以在应用程序设计过程中采取的措施是( )。
A)仅Ⅰ和Ⅱ
B)仅Ⅰ、Ⅲ和Ⅳ
C)仅Ⅱ和Ⅲ
D)仅Ⅱ、Ⅲ和Ⅳ
22.设有某商场的数据库应用系统,在其生命周期中有下列活动:
Ⅰ.在系统上线之前模拟客户的消费行为,生成销售数据,测试系统是否能正确完成销售业务
Ⅱ.为应对商场业务迅速增长带来的数据快速增长而扩展硬盘空间
Ⅲ.监控数据表的使用情况,根据表访问率的不同对系统进行优化
Ⅳ.系统上线后,在正常营业期间运行模拟数据生成器向正在运行的数据库模拟生成大量销售数据,测试系统的性能
Ⅴ.在系统上线运行的正常营业期间,手动切断所有数据库服务器电源,测试数据库系统在发生软故障后的恢复能力
Ⅵ.在非营业时间停机后给数据库服务器增加内存以提升服务器性能
以上活动属于商场数据库系统运维活动的是( )。
A)仅Ⅱ和Ⅵ
B)仅Ⅱ、Ⅲ和Ⅵ
C)仅Ⅱ、Ⅲ、Ⅴ和Ⅵ
D)全是
23.SQK Server 2008提供了多种备份机制,其中数据库差异备份所备份的内容是( )。
A)从最近的一次完整备份到当前时问数据库中变化的数据
B)从最近的一次完整备份到当前时问数据库中变化的数据和日志
C)从最近的一次差异备份到当前时间数据库中变化的数据
D)从最近的一次差异备份到当前时间数据库中变化的数据和日志
24.当数据库系统出现故障时,可以通过数据库日志文件进行恢复。下列关于数据库日志文件的说法,错误的是( )。
A)数据库出现事务故障和系统故障时需使用日志文件进行恢复
B)使用动态转储机制时,必须使用日志文件才能将数据库恢复到一致状态
C)在OLTP系统中,数据文件的空间使用量比日志文件大得多,使用日志备份可以降低数据库的备份空间
D)日志文件的格式主要有以记录为单位的日志文件和以数据块为单位的日志文件两种
25.在SQL Server 2008中,设某日上午10点对DB1数据库进行了一次完整备份,在上午11点时DB1数据库突然因硬件故障造成部分数据损坏,但该数据库的日志文件没有遭到破坏。为了尽可能减少数据丢失,下列操作中最可行的是( )。
A)首先对DB1进行一次完整备份,然后再恢复数据库
B)首先对DB1进行一次差异备份,然后再恢复数据库
C)首先对DB1进行一次结尾日志备份,然后再恢复数据库
D)首先清空日志文件内容,然后再恢复数据库
26.现有一个大型公司的数据库系统,其业务主要以更新事务为主,并且不同部门的用户访问不同的数据子集。随着用户数量的增加,出现了性能瓶颈。该公司希望采用分布式数据库技术解决该问题。下列最适合该应用的数据分配方式是( )。
A)集中式
B)分割式
C)复制式
D)混合式
27.在一个分布式数据库中,数据集S被分片为S1和S2。S1存储在场地1的DB2数据库中;S2有两个副本,一个副本存储在场地2的SQL Server数据库中,另一个副本存储在场地3的Oracle数据库中。用户在开发数据库应用程序时,统一采用0DBC访问数据源。用户程序控制两个副本的访问顺序:先访问场地2的副本,如果失败,则转向场地3的副本。根据以上描述,判断该分布式数据库具有的透明性级别是( )。
A)分片透明性
B)位置透明性
C)全局数据模型透明性
D)局部数据模型透明性
28.在并行数据库中,有关系R(A,B)和S(A,C),需要将它们根据A属性拆分到不同的磁盘上。现有查询SELECT B FROM R,S WHERE R.A=S.A。下列拆分方式中最适合该查询的是( )。
A)轮转法
B)散列划分
C)范围划分
D)列表划分
29.设有如下所示的某商场购物记录集合,每个购物篮中包含若干商品:
| 购物篮编号 | 商品 |
| 1 | 面包,牛奶 |
| 2 | 面包,啤酒,鸡蛋,尿布 |
| 3 | 牛奶,啤酒,尿布,可乐 |
| 4 | 面包,牛奶,啤酒,尿布 |
| 5 | 面包,牛奶,尿布,可乐 |
现在要基于该数据集进行关联规则挖掘。如果设置最小支持度为60%,最小置信度为80%,则如下关联规则中,符合条件的是( )。
A)啤酒→尿布
B)(面包,尿布)→牛奶
C)面包→牛奶
D)(面包,啤酒)→尿布
30.设某银行有基于关系型数据库的数据仓库系统,其中有下列数据:
Ⅰ.账户余额快照数据
Ⅱ.DBMS的数据字典
Ⅲ.账户存取明细数据
Ⅳ.数据表结构说明文档
Ⅴ.数据抽取日志
以上数据不属于元数据的是( )。
A)仅Ⅰ和Ⅲ
B)仅Ⅳ和Ⅴ
C)仅Ⅱ和Ⅳ
D)仅Ⅰ、Ⅲ和Ⅴ
一、单选题
1.C【解析】对模式进行分解时,既要保证分解具有“无损连接性”,又要保证分解“保持函数依赖”。所谓“无损连接”指分解的若干连接重组时可以精确恢复到原来的数据表,数据记录既没有增加也没有减少。“保持函数依赖”是指原关系模式含有的属性之问的隐含关系在分解后不能丢失。本题由所给的F可以看出A,B,C为关系中的主键,D为非主属性,D依赖于A,B,C分解可恢复出原关系,但其中隐含的D对A、B的依赖却丢失了。
2.D【解析】分解使得一个关系变为多个关系,常用于关系模式规范化。一般情况下可以减少部分数据冗余,但不恰当的分解也可能增加冗余。
3.C【解析】一张关系表中的主码不能为空且具有性。外码取值可能为被参照关系中已存在的主码值或空值。最终该表中插入的数据为(1),(2),(4),(6),共4行数据。
4.B【解析】为了提高系统的性能,应该根据应用情况将数据的易变部分和稳定部分、经常存取部分-和存取频率较低的部分分开存放,较常用的放在高速读写的磁盘上,但并没有说索引一定要在高速磁盘,日志一定要在低速磁带,要根据访问频率决定。
5.D【解析】三层架构将更多的任务传给服务器端计算,所以增加了网络的通信量,其运行速度受制于网络,并不一定会提高。在适用Intemet、维护工作量等方面,B/S比C/S强;在运行速度、数据安全和人机交互等方面,不如C/S。
6.C【解析】l属于设计数据库设计中的概念结构设计,Ⅲ属于逻辑结构设计,Ⅳ属于物理设计。Ⅱ、V、Vl属于数据库的实现与维护。所以答案为c。
7.A【解析】关系数据语言分为关系代数语言、关系演算语言和兼具两者双重特点的语言,如SQL,但所有这些语言的共同特点是非过程化的集合操作语言,所以Ⅱ错误。Ⅳ是因为查询数据表时SQL语句不会检查数据的完整性约束。
8.C【解析】RAIDl0比RAID5在写数据上更稳定、速度更快,所以C项中应尽量避免存储在RAID5的磁盘存储系统中。
9.B【解析】本题考察了有关UML的类图表示。这里的区别主要在四种表示上:类的UML表示(空心三角实线连接)、接口的UML表示(空心三角虚线连接)、聚合关系的UML表示(空心菱形实线连接)以及合成关系的UML表示(实心菱形实线连接)。类的表示指的是子类对父类关系的继承;接口与子类继承比较相似,区别主要在于多继承上;聚合关系主要表示一种弱的拥有关系,如A对象可以包含B对象,但B对象不是A对象的一部分;而合成是一种强拥有,体现了严格的部分和整体关系。此题中,车架和车轮是车的严格组成部分,如果缺少一样,车就没法开,所以对车来说是必不可少的部分。所以选B。
10.D【解析】此题考察了SQL中CASE WHEN语句的用法。如果是简单的赋值查询,比如数据库表示性别:1表示男,2表示女。则用
CASE sex
When ˊ1ˊTHEN ˊ勇ˊ
Whenˊ2ˊ THENˊ女ˊ
ELSEˊ其它ˊ
END
即可以表示。但如果条件较为复杂或包含判断式等,则用D所表示的方式。
11.D【解析】标量函数返回一个确定类型的标量值。函数体语句定义在BEGIN-END语句内,其中包含了可以返回值的Transact-SQL命令。
创建标量函数的语法如下:
CREATE FUNCTION[owner name.]function_name
([{@parameter_name[AS][type_schema_name.]parameter_data_type
[=default]}
[,…n]
)
RETURNS return_data_type
[AS]
BEGIN
function_body
RETURN scalar_expression
END
[;]
12.A【解析】A属性基于对R进行水平划分,即区别子集主要是通过A属性。B、D都是基于B属性对R的划分。C只是删除了R表中不等于10的记录,不属于划分分区表的方式。
13.A【解析】架构是形成单个命名空间的数据库实体的集合。命名空问也是一个集合,其中每个元素的名称都是的。架构与用户的关系是一对多的关系,一个用户只能对应一个架构,但多个用户可以共享一个架构,所以选A。
14.B【解析】SQL Server Agent是一个任务规划器和警报管理器,在实际应用环境下,可以先将那些周期性的活动定义成一个任务,然后让其在SQL Server Agent的帮助下自动运行。假如考生是一名系统管理员,则可以利用SQL Server Agent向自己通知某些警告信息,从而定位出现的问题以提高管理效率。SQLServer Agent主要包括以下几个组件:作业、警报和操作。所以选B。
15.A【解析】一个数据库可以包含多个数据文件,这些文件可以存放在一个物理磁盘上,也可以放在不同的物理磁盘上。
16.C 【解析】SQL Server实例就是在数据库中存在的现实的数据库例子,它是后台进程和数据库文件的集合。仅具有登录权限的用户对SQL Server只能进行系统数据库中有关SQL Server的一些系统信息的查询,即只能对master、msdb数据库部分数据进行查询。所以选C。
17.C【解析】U1要将Tl表中的数据导出,所以要有对数据的查看权限。而u2负责将数据导入到T2表中,则要对表T2有写入权限。所以选C。
18.C【解析】检测死锁有多种方法,包括超时法、等待图法等。事务等待图法动态地反映了所有事务的等待情况,并发控制的子系统周期性地生成事务等待图进行检测,而不是在执行每个事务时进行检测。所以选择C。
19.A【解析】本题是对数据库维护的考查,服务器网络的检测不是数据库管理员的职责,而应是操作系统管理员的职责。用户向数据库发送的SQL数量庞大而且没有稳定的衡量指标,所以不属于日常监控范围。选择A。
20.B【解析】增加冗余列指的是在多个表中添加相同的列,这样虽然增加了数据库服务器存储的负担,但可以减少查询过程中的JOIN(连接)操作,而不是UNION(并)操作。所以选B。
21.B【解析】Ⅱ.检测事务等待图并撤销回路中的某个事务是在数据库应用系统运行过程中由DBMS完成的工作,不是应用程序设计过程中采取的措施。剩下三个属于在应用程序设计中预防死锁的办法。所以选B。
22.B【解析】Ⅰ属于数据库测试,Ⅳ、Ⅴ不可行。
23.B【解析】差异备份是指备份自上一次完全备份之后有变化的数据。SQL Server 2008中除了备份变化的数据外还要备份日志文件,这是因为在恢复时要根据日志中的事务过程进行恢复操作。所以选B。
24.C【解析】数据文件的空间使用量未必比日志文件大,因为日志是快速增长的。此外,使用日志备份并不能降低数据库的备份空间。所以选C。
25.C【解析】10点备份过数据库之后,数据库发生故障导致部分数据损坏,此时再进行完整备份或差异备份都没有意义。由于日志文件没有损坏,所以应首先执行结尾日志备份,然后根据上次的完整性备份和新备份的结尾日志文件,找到上次备份的时问点,而后重新执行时问点之后的事务操作,所以选C。
26.B【解析】分布式数据库的分配方式包括集中式、分割式、全复制式和混合式。集中式指所有数据片断都安排在一个场地上;分割式指全局数据有且只有一份,它们被分割成若干片段,每个片段被分配在一个特定场地上;全复制式是在每个站点上,都有全局数据的复制样本,数据的冗余性;混合式是指部分站点上是全局数据的若干片段,部分站点上是全局数据的副本。仅仅根据题目要求,不同部门访问不同的数据子集,并没有强调某个部门要访问全局信息,所以不考虑有全局数据的副本的必要,即选B。
27.D【解析】分布透明性包括分片透明性、位置透明性、局部数据模型透明性。分片透明性是层次,指的是用户或应用程序只对全局关系进行操作而不必考虑关系分片的情况。位置透明性是下一层次,指用户或应用程序只需了解数据分片情况,而不必了解片段的存储场地。局部数据模型透明性指的是用户或用户程序不必了解局部场地上使用的是哪种数据模型,但是必须了解全局数据的分片情况,还需了解各片断的副本复制情况及各片断和它们副本的场地位置分配情况。由于本题中考虑到场地2和场地3的选择,所以位置对用户来说并不透明,应选D。
28.B【解析】轮转法:对关系顺序扫描,将第i个元组存储到标号为Di mod n的磁盘上,该方式保证了元组在多个磁盘上均匀分布。散列划分:选定一个值域为{0,1,…,n-1}的散列函数,对关系中的元组基于划分属性进行散列,如果散列函数返回i,则将其存储到第i个磁盘。范围划分:根据表中某个属性取值区间划分成不同的子区间,然后根据表中的属性值所属的不同区间将表分成不同的子表。根据属性A对表进行散列划分,然后在每个划分内部执行select语句,会大幅提高查询效率。
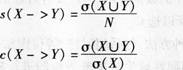
29.A【解析】关联规则是形如X->Y的蕴涵表达式。关联规则的强度可以用它的支持度(s)和置信度(e)度量。支持度确定规则可以用于给定数据集的频繁程度,而置信度确定Y在包含x的事务中出现的频繁程度。两者可以用公式表示:
从题目中可以看到事务总数是5,A的{啤酒、尿布}支持度计数是3,{啤酒}支持计数是3,所以s=0.6。e=1。同理可得B{面包、尿布}支持计数为3,{面包、尿布、牛奶}支持计数是2,所以S=0.4,C=2/3。C中,{面包、牛奶}支持计数为3,{面包}支持计数为4,所以S=0.6,C=0.75。D中,{面包、啤酒}支持计数为2,{面包、啤酒、尿布}支持计数为2,所以S=0.4,e=1。综上所述,结果选A。
30.D【解析】元数据是关于数据的数据,或者叫做描述数据的数据。元数据描述了数据的结构、内容、链和索引等项内容。在关系数据中,这种描述就是对数据库、表、列等其他对象的定义。因此可推出,Ⅰ、Ⅲ和V不属于元数据。所以选D。