>
【文档预览】 文档大全网整理发布2023年陕西汉中中考数学真题及答案A卷(Word版),前五页预览如下:
本文来源:https://www.wddqw.com/bS0v.html
相关文章:
正在阅读:
2023年陕西汉中中考数学真题及答案A卷(Word版)08-16
蜡烛作文借物喻人500字06-17
江西赣州定南实验学校2023年小升初第三批次电脑随机派位已录取学生名单公布08-23
诗词鉴赏:张炎《清平乐·采芳人杳》08-14
湖北武汉2020年第四次基金从业资格预约式考试报名时间及入口(7月27日-9月25日)02-17
2018山东省东港区质监局招聘5人报名即日起至8月17日截止07-06
2018年6月大学英语六级阅读态度词语:客观词05-22
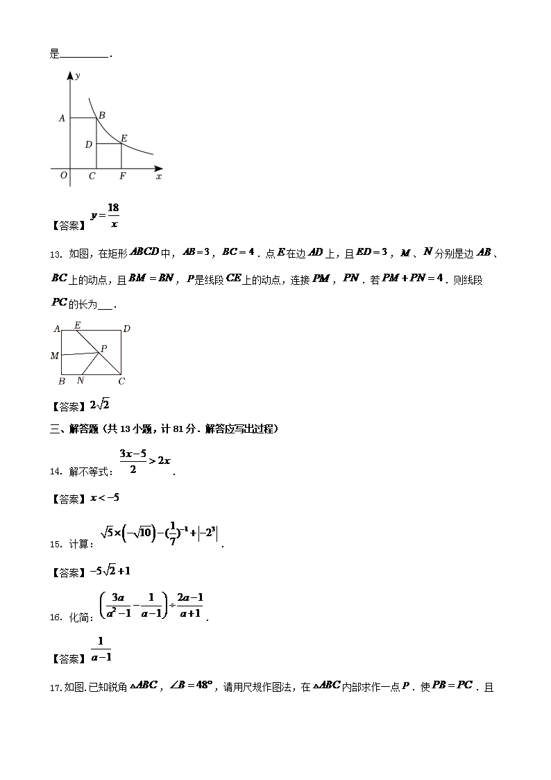
2016年海南医学检验职称考试报名网站:中国卫生人才网08-29
英语听力材料:托福听力五种突发情况应对方案02-13
2017广东佛山顺德区北滘莘村中学招生计划10-11
新加坡低龄留学的好处详解01-24