2023年重庆市普通高校招生信息表(本科批-历史-三次征集)

时间:2023-08-04 03:32:01 阅读: 最新文章 文档下载
说明:文章内容仅供预览,部分内容可能不全。下载后的文档,内容与下面显示的完全一致。下载之前请确认下面内容是否您想要的,是否完整无缺。
【#高考# 导语】®文档大全网从重庆招考了解到,2023年重庆市普通高校招生信息表(本科批-历史-三次征集)已公布,详细内容如下:



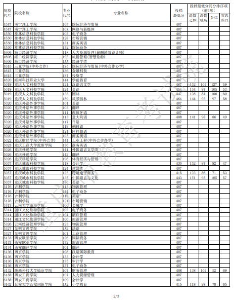
2023年重庆市普通高校招生信息表(本科批-历史-三次征集)



2023年重庆市普通高校招生信息表(本科批-历史-三次征集)



2023年重庆市普通高校招生信息表(本科批-历史-三次征集)



2023年重庆市普通高校招生信息表(本科批-历史-三次征集)


本文来源:https://www.wddqw.com/NHmv.html