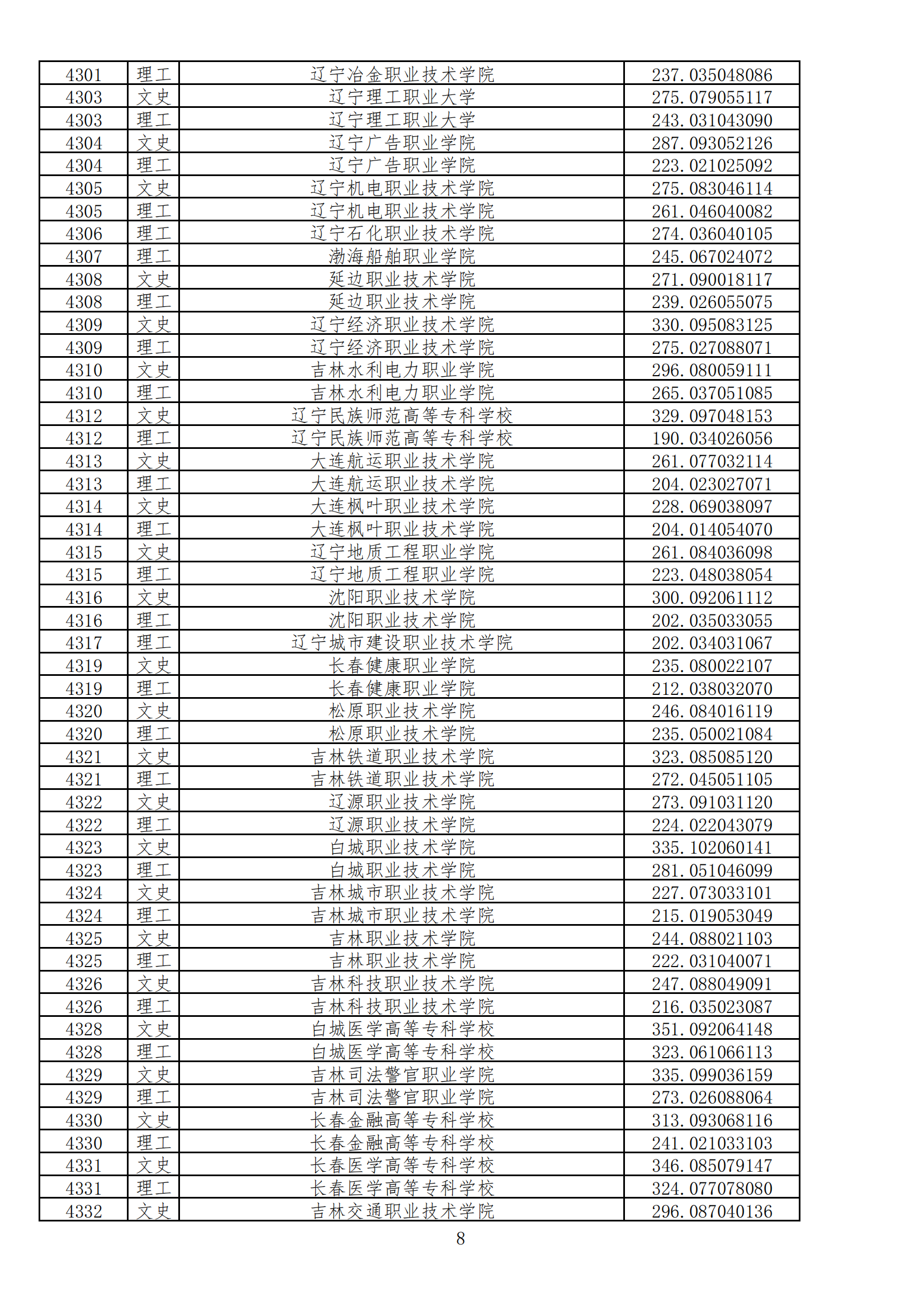
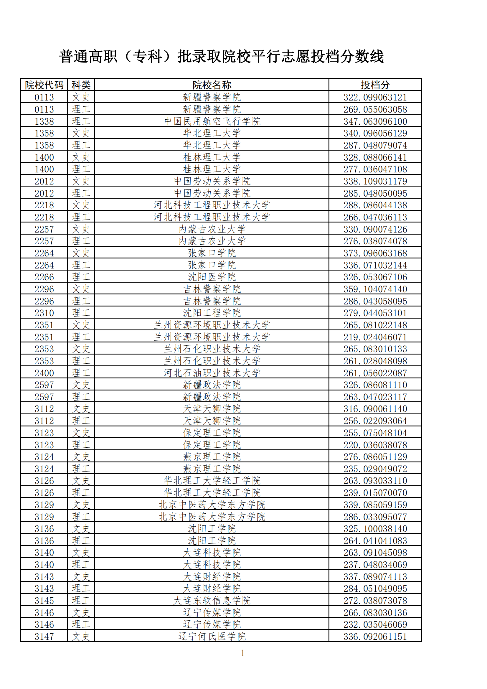
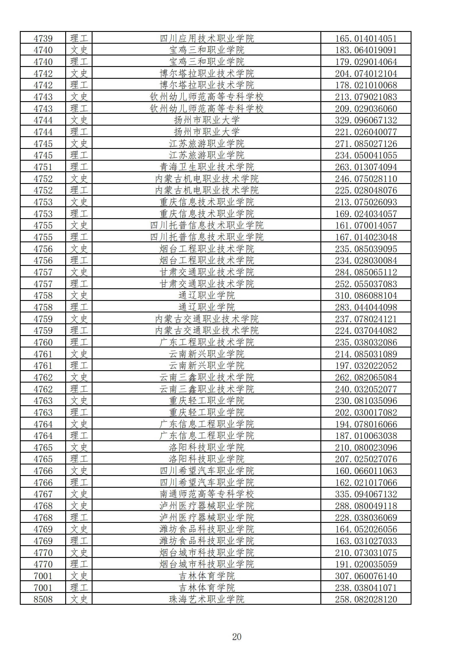
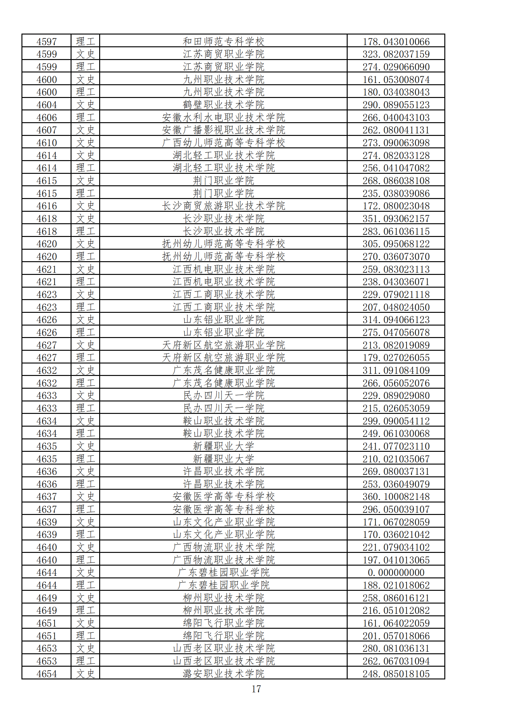
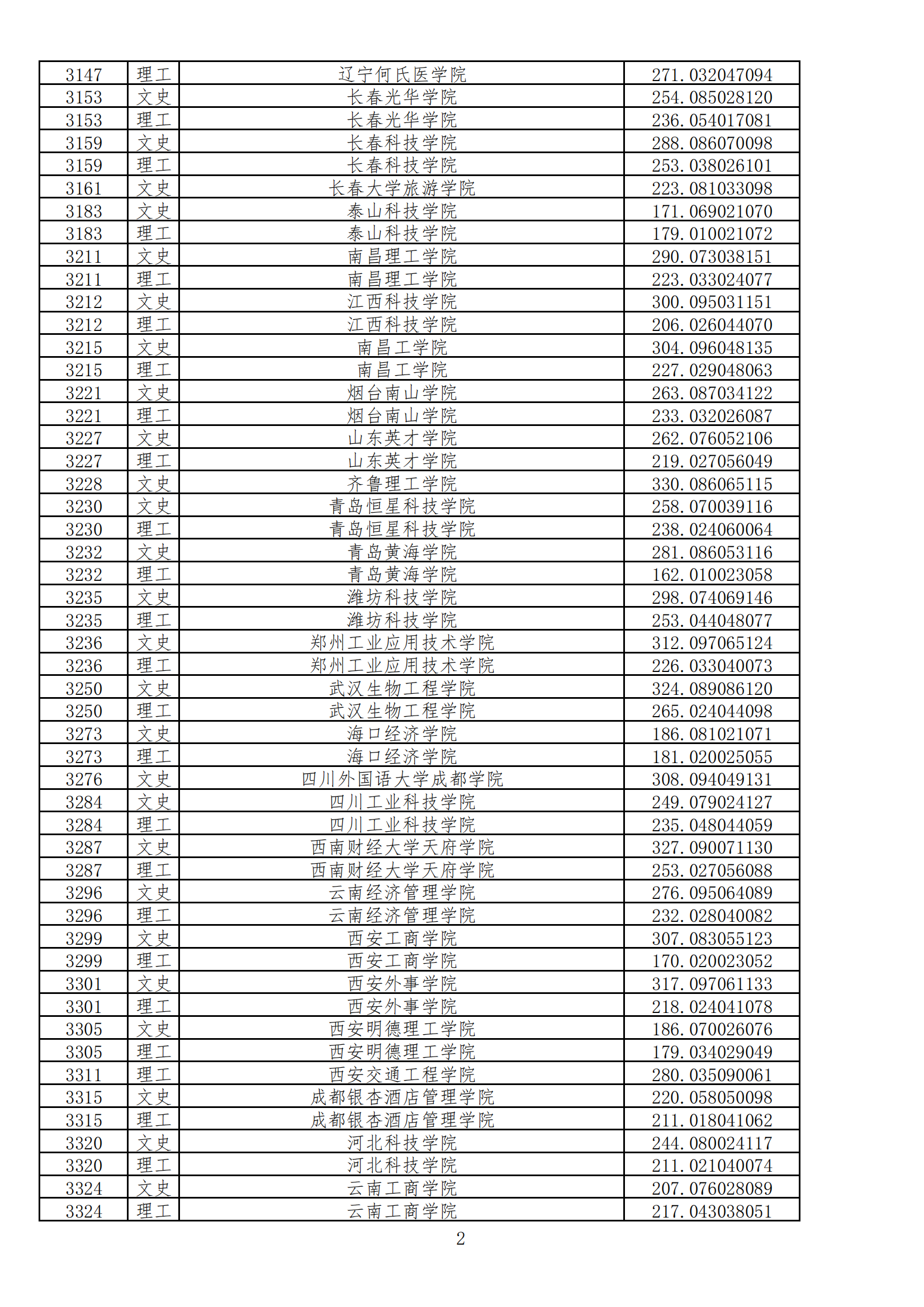
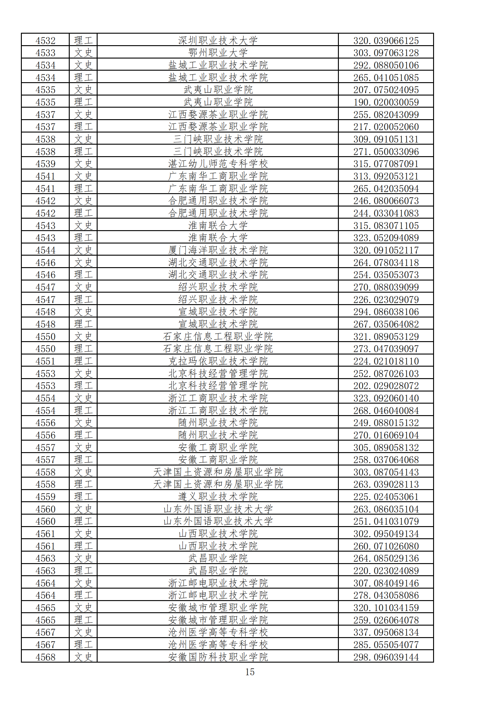
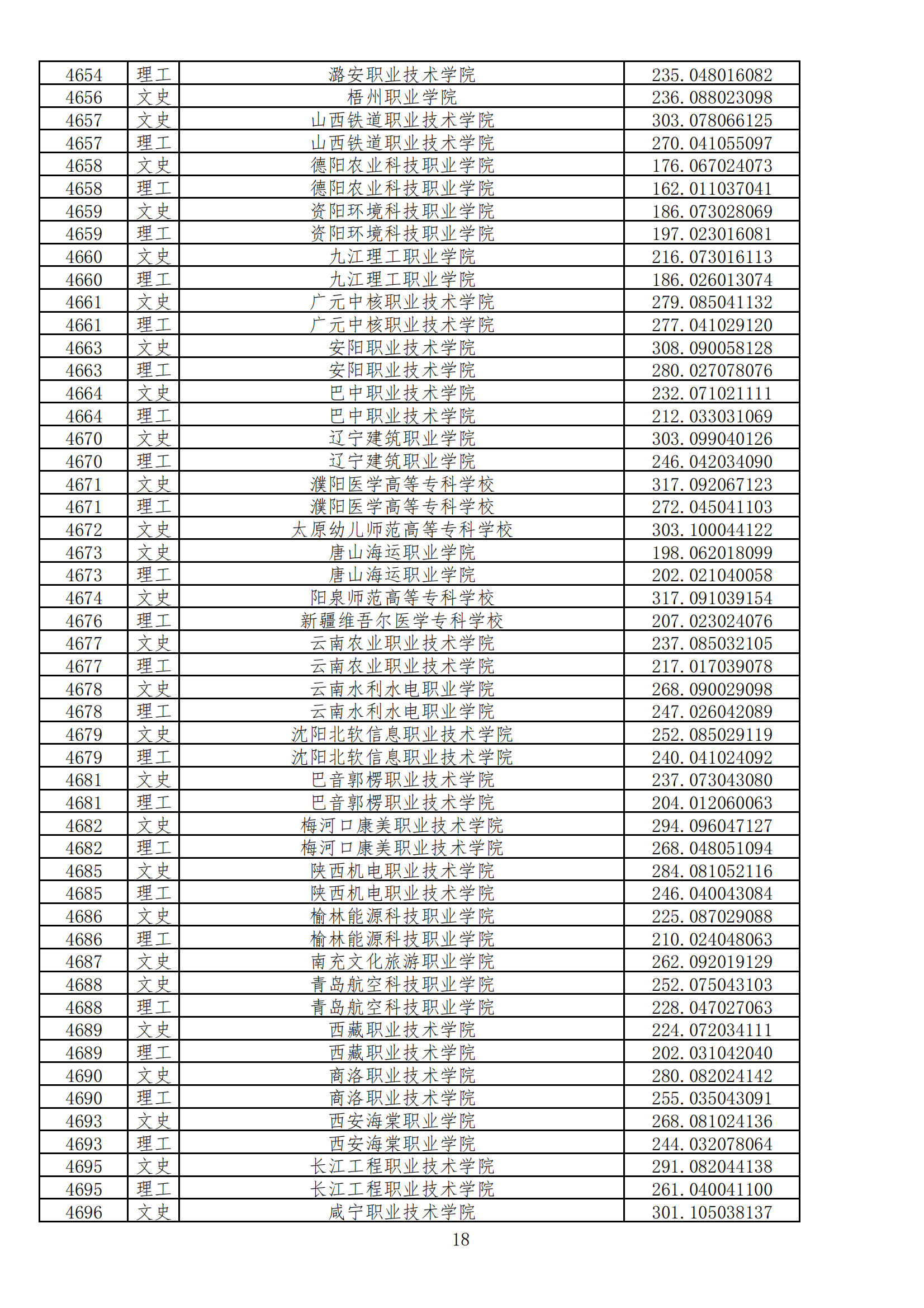
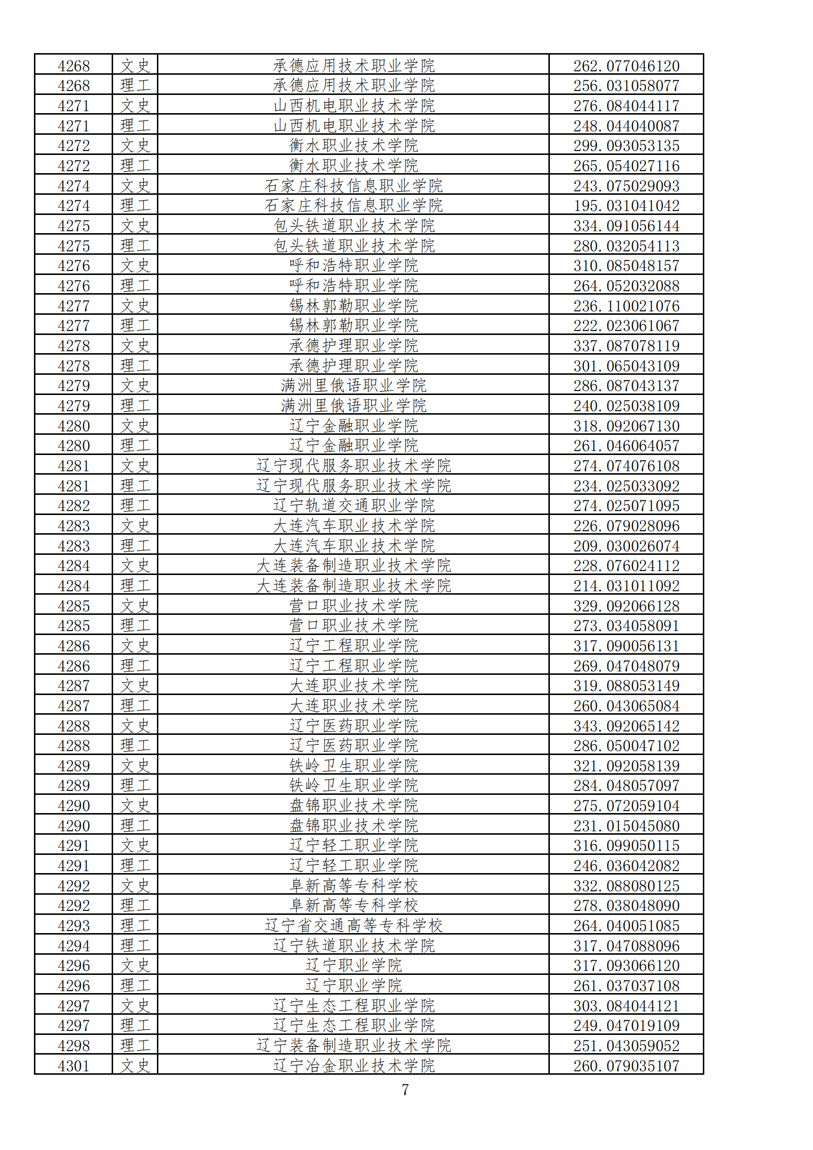
黑龙江2023年普通高职(专科)批录取院校平行志愿投档分数线

时间:2023-08-10 02:31:02 阅读: 最新文章 文档下载
说明:文章内容仅供预览,部分内容可能不全。下载后的文档,内容与下面显示的完全一致。下载之前请确认下面内容是否您想要的,是否完整无缺。
【#高考# 导语】©文档大全网从黑龙江省招生考试信息港了解到,黑龙江2023年普通高职(专科)批录取院校平行志愿投档分数线 已公布,详细内容如下:

image.png


image.png


image.png


image.png


image.png


image.png


image.png


image.png


image.png


image.png


image.png


image.png


image.png


image.png


image.png


image.png


image.png


image.png


image.png


image.png


image.png


本文来源:https://www.wddqw.com/JUvv.html