一句语文是联的皇后,数学是朕的嬛嬛,红遍了朋友圈,如果这样比喻的话,那函数一定是数学身边的槿汐,没有槿汐哪来的甄嬛,没有函数,数学还算完整吗?想让数学称霸全科,恐怕没有函数的助力也是不行的。那么本期超级学团的学霸老师的主题就是:利用函数图像解题。
函数问题是贯穿高考核心的难点问题,许多同学对于函数问题完全处于百牛一毛都没沾到的地步,哀叹,唾弃……这些都是没用哒,想学好还是要方法对,下工夫!如果你想绝杀它!没问题,今天我就与大家一起简单的来探讨一下处理函数图像三步行!
众所周知,函数在高考中占有至关重要的作用,不论是大题还是小题,无函数而不欢!因此,解决函数问题成为大家平时解题的一个重点,本文以绝对干货的形式向大家介绍函数图像解题的简明及便捷性(数形结合)。
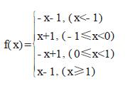
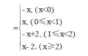
解题第一步:熟悉几大基本函数图像。包括一次、二次、指数、幂函数、对数、对勾、带绝对值、分段函数等,只有将这些熟记于心才能够解题!比如说下面是那一类函数的基本图像!
解题第二步:掌握函数解析式基本性质。单调性、对称性,周期等的结论,比如说
f(x+a)=f(x-b),则f(x)是以a+b为周期的周期函数
f(x+a)=f(-x-b),则f(x)是以(a+b)为对称轴的轴对称函数
等等的这些公式啊规律你们还记得否呢?
解题第三步:数形结合思想放在第一位!以一道例题为例
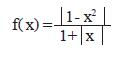
已知
,则函数g(x)=f(x-1)的单调增区间
分析:
1、确定是绝对值函数,适当选择区绝对值,接着分类
2、求f(x-1)增区间,先求其解析式
3、画图
正在阅读:
2017辽宁三本大学排名及分数线01-17
移民加拿大的萨省怎么样呢?02-03
三年级记事作文400字:一场精彩的足球赛10-24
故乡也古老作文800字01-04
留学法国读商科可以申请的奖学金一览12-12
沿途的风景作文700字08-03
山西省中小学生学籍管理系统:zxxs.sxedu.gov.cn03-23
金色的鱼钩读后感500字作文:《金色的鱼钩》读后感05-04
小狐狸的工作作文450字10-06