一、选择题(每小题1分,共40分)
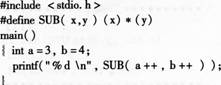
1、设有以下程序段: 
要求输入字符串给结构体变量rec的title成员,错误的输入语句是( )。
A.seanf(”%s”Ptrtitle);
B.scanf(”%s”,rec.title);
C.scanf(’’%s”,(*pu).title);
D.scanf(”%s”,ptr->title);
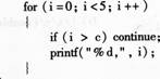
2、 有以下程序: 
执行时输入:aBeDefG##<回车>,则输出结果是( )。
A.AbCdEFg
B.ABCDEFG
C.BCDEFGH
D.bedefgh
3、 以下与存储类别有关的四组说明符中,全部属于静态类的一组是( )。
A.extem和static
B.auto和static
C.register和static
D.register和ex[erll
4、 设有定义:int x,Y,z;,且各变量已赋正整数值,则以下能正确表示代数式‘
的C语言表达式是( )。
A.…1.…0/x。/y,/z
B.1/x * Y * z
C.1/(x * Y * z)
D.1/x/y/(double)z
5、 若有定义:double x;,则表达式IX=0,x+10,x+十的值是( )。
A.11.0
B.10.0
C.0.0
D.1.0、
6、 有以下程序: 

执行时输入:0<回车>后,则输出结果是( )。
A.5,
B.0,0,0,0,0,
C.0,1,2,3,4,
D.0,1.
7、 以下程序拟实现计算sum=1+1/2+1/3+…+1/50。 
程序运行后,不能得到正确结果,出现问题的语句是( )。
A.sum+=1/i;
B.while(i<50);
C.sum.=1.0;
D.i++;
8、 下列处理中与队列有关的是( )。
A.操作系统中的作业调度
B.执行程序中的过程调用
C.执行程序中的循环控制
D.---X树的遍历
9、 非空循环链表所表示的数据结构( )。
A.有根结点也有叶子结点
B.没有根结点但有叶子结点
C.有根结点但没有叶子结点
D.没有根结点也没有叶子结点
10、 将c语言的整数设为整数类1,则下面属于类I实例的是( )。
A.一103
B.10E3
C.10.3
D.“0103”
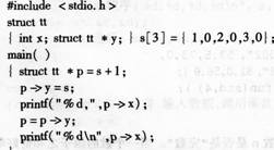
11、 
程序运行后的输出结果是( )。
A.7
B.0
C.3
D.8
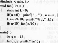
12、 有以下程序: 
程序运行后的输出结果是( )。
A.6.5.4.3.3,2,1,
B.1,2,3,4,5,6,
C.1,1,1,1,1,l
D.6,6,6,6,6,6,
13、 软件开发中需求分析的主要任务是( )。
A.定义和描述目标系统“做什么”
B.获取需求
C.给出软件解决方案
D.需求评审
14、 若有定义:char c;double d;程序运行时输入:1 2<回车>,能把字符1输入给变量c、数值2输入给变量d的输入语句是( )。 ![]()
15、 有以下程序: 
程序运行后的输出结果是( )。
A.Beijing!
B.toBeijing]
C.WelcomeyoutoBeijingI
D.youtoBeijingI
16、 有以下程序: 
程序运行后的结果是( )。
A.有运行错误
B.输出ll.10
C.输出l2.10
D.输出21.10
17、 有以下程序 
程序运行后的输出结果是( )。
A.15
B.12
C.16
D.20
18、 若文件指针fp已正确指向文件,ch为字符型变量,以下不能把字符输出到文件中的语句是( )。
A.fget(f0,ch);
B.foutc(ch,fo);
C.fprinff(fp,”%c”,ch);
D.fwrite(&ch,sizeof(ch),1,fp);
19、函数fgetc的功能是从指定文件中读入一个字符,以下与其功能完全相同的函数是( )。
A.fread
B.fscanf
C.fgets
D.getc
20、 有以下程序:
则以下函数调用语句错误的是( )。.
A.k=f(a,B.;
B.k=add(a,B.;
C.k=(*f)(a,B.;
D.k={f(a,B.;
21、 某循环队列的存储空间为Q(4:m),初始状态为front=lea/"=m。现经过一系列的人队操作和退队操作后,front=m,r6ar=m一1,则该循环队列中的元素个数为( )。
A.m一1
B.m
C.1
D.0
22、 在最坏情况下,堆排序的时间复杂度是( )。
A.0(1902n)
B.O(n1092n)
C.o(n2)
D.0(n1.5)
23、 若某二叉树中的所有结点值均大于其左子树上的所有结点值,且小于右子树上的所有结点值,则该二叉树遍历序列中有序的是( )。
A.前序序列
B.中序序列
C.后序序列
D.以上说法均可以
24、 有以下程序: 
程序运行后的输出结果是( )o
A.24
B.720
C.120
D.6
25、 学生选课成绩表的关系模式是sc(S#,c#,G),其中S#为学号,c#为课号,G为成绩,检索课号为2且成绩及格的学生学号的表达式为( )。 ![]()
26、 以下程序段中的变量已正确定义。
for(i=0;i<4;i++,i++)
for(k=1;k<3;k++);prinff(”*”);该程序段的输出结果是( )。
A.*
B.****
C.**
D.********
27、 有以下程序: 
28、 有以下程序: 
程序运行后的输出结果是( )。
A.2,3
B.2,1
C.1,2
D.3,1
29、 以下定义数组的语句中错误的是( )。
A.int num[][3]={{1,2},3,4,5,6};
B.int nUITI[2][4]={{1,2},{3,4},{5,6}};
C.int num[]={1,2,3,4,5,6};
D.int num[][4]={1,2,3,4,5,6’};
30、 设有定义:doublex=5.16894;,则语句prinff(”%If\n”,(int)(x$1000+0.5)/1000.);的输出结果是( )。
A.5.16900
B.5.16800
C.0.00000
D.输出格式说明符与输出项不匹配,产生错误信息
31、 下列叙述中正确的是( )。
A.数据库系统可以解决数据冗余和数据独立性问题,而文件系统不能
B.数据库系统能够管理各种类型的文件,而文件系统只能管理程序文件
C.数据库系统可以管理庞大的数据量,而文件系统管理的数据量较少
D.数据库系统独立性较差,而文件系统独立性较好
32、 有以下程序: 
程序运行后的输出结果是( )。
A.-2,3,
B.-1,-2,
C.-2,-3,
D.-2,1
33、 有以下程序: 
}、、、程序运行后的输出结果是( )。
A.一263
B.2
C.0
D.一26
34、 以下是正确C语言实型常量的是( )。
A..e—1
B.e一1
C.一1e
D.1e一1
35、 若想定义int型变量a,b,c,d并都赋值为1,以下写法中错误的是( )。
A.int a=b=c=d=1;
B.int a=1,b=1,c=1,d=1;
C.int a,b,c,d;a=b=c=d=1;
D.int a,b,c,d=1;a=b=c=d;
36、 有以下程序: 
程序运行后的输出结果是( )。
A.10
B.16
C.6
D.12
37、 有以下程序: 

程序运行后的输出结果是( )。
A.B,C,D,E,
B.A,B,C,D,
C.C,D,E,F,
D.B,D,F,H,
38、 
程序运行后的输出结果是( )。
A.Qian,f,350,Sun,f,350
B.Qiamf,350,Qian,f,350
C.Qian,f,350,Sun,m,370
D.Zha0,m,290,Sun,m,370
39、 软件按功能可以分为应用软件、系统软件和支撑软件(或工具软件)。下面属于系统软件的是( ):
A.学生成绩管理系统
B.ERP系统
C.办公自动化系统
D.UNIX系统
40、某循环队列的存储空间为Q(1:m),初始状态为front=rear=m。现经过一系列的入队操作和退队操作后,front=m一1,real"=m,则该循环队列中的元素个数为( )。
A.m一1
B.1
C.m
D.0
2015年3月计算机二级C语言无纸化考试选择题真题.doc
正在阅读:
2015年3月计算机二级C语言无纸化考试选择题真题02-22
2023年湖南省岳阳市临湘市财政局乡镇财政服务中心招聘22人公告(5月25日-27日报名)05-19
追求作文800字12-24
湖南湘西2017年10月自考报名条件01-31
广东嘉腾机器人自动化2017校园招聘信息06-18
短的数学小故事【八篇】03-04
2022年江西南昌市二级建造师成绩查询入口(已开通)09-24
2023年四川宜宾市长宁县高校毕业生“三支一扶”计划拟招募人员公示(第二批)08-26
话不能说的太绝|话不能说太绝作文100字02-05
语文高中作文万能开头和结尾|高中作文万能开头和结尾03-09
狐狸和乌鸦新传作文600字10-20