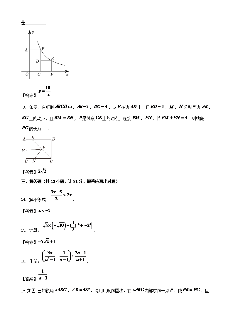
>
【文档预览】 文档大全网整理发布2023年陕西延安中考数学真题及答案A卷(Word版),前五页预览如下:
本文来源:https://www.wddqw.com/5t0v.html
相关文章:
正在阅读:
2023年陕西延安中考数学真题及答案A卷(Word版)08-16
中国卫生人才网:2017年广东初级护师成绩查询入口(已开通)01-29
2019年江苏高级统计师考试时间:10月20日09-29
2022中国农业科学院郑州果树研究所人才招聘公告03-18
碎片化中的我们作文800字11-09
2019年4月上海市青浦自学考试时间:4月13日开考10-02
长春版小学二年级上册语文课件:《他们这样过年》09-12
2018福建省福州市鼓楼区南街街道招聘公告【9人】04-26
孕后期胎教:孕晚期准妈妈临产前的胎教方法03-07
七年级上册数学练习册参考答案201605-30
欢庆六一作文500字09-04